最近Apple出了自己的30B多模态大模型,涌现出了多模态的in-context learning效果,论文里一句"even better"让我想到库克那个嗓音……作者说明了很多在训练中收获到的经验教训,这是我最近几个月看的写法最清楚的一篇论文。正好借此讲讲多模态大模型:目前学界大火的VLM,到底是怎么跑的?
Introduction

作者团队来自苹果,看来苹果说的"今年wwdc上大模型"真有希望了?
在pretrain models领域,大家一直都想把之前的所有任务的数据整合到一起,把之前一堆独立模型做的事情统一到一个模型里面,由此诞生了LLM技术。最近大家关注的重点开始转向多模态:除了文本领域的任务,能不能同时把和图片理解相关的任务也统一进去? 具体来说,如果输入同时含有图片文本,多个图片文本交错排列,模型能不能在理解图片和文本的基础上,输出文本。这就是MLLM(multimodal LLM)或者VLM(Vision-Language Model)
虽然学界、业界在这方面的探索不少,但已有的工作基本都不够开放:要么就是闭源模型给个API,要么就是开源模型只给个权重。即使有些工作会开源数据,但是没有人会开放讨论他们对于模型结构的选择、对于训练数据的选择、对于训练超参数的选择以及背后的原因。
作者在本篇工作中开放的讨论了所有的细节,结论简单来说就是以下几点:
- 在模型结构方面,下面几个要素的重要性递减:vision-encoder的分辨率、vision-encoder大小。VL-connector选择对于最终的表现几乎没有影响
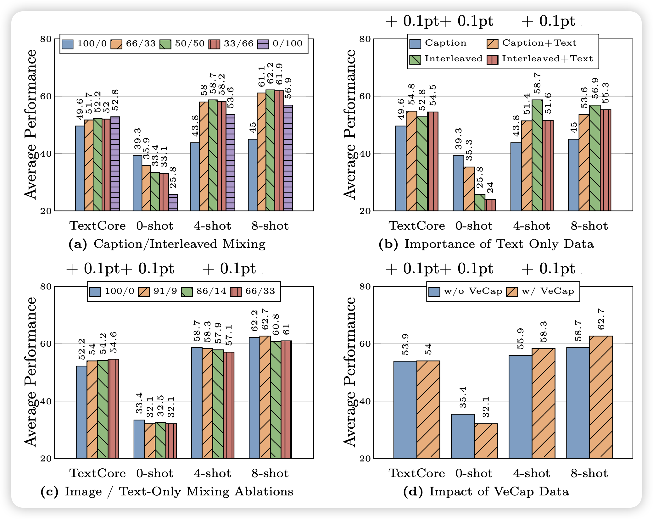
- 在数据方面,主要有以下几种数据:text-only数据、image-caption数据、互联网文本-图片交错数据,作者发现:
- 互联网文本图片交错数据和text-only数据对于in-context Learning、few-shot Learning至关重要
- image-caption数据对于zero-shot Performance至关重要
最后,从一系列insight出发,作者scaling了训练过程,训练了3B、7B、30B的VLM,甚至在3B和7B规模下尝试了top2的MoE架构,并在各个层面上达到了SOTA的效果
除了没开源weight,基本全给你了……
VLM长啥样?

目前的VLM基本都是分三个部分,如上图的左图:
- image-encoder,负责把图片编码成为embedding,同时尽可能不要损失信息
- VL-connector,负责把image-encoder的输出做一些转换,比如MLP,对齐到LLM的word embedding空间
- decoder-only LLM:把上一步的输出直接作为多个Token的Word embedding输入,然后跑后面的LLM next-token-prediction。会在text输出的部分计算loss
Image-encoder
image-encoder一般也是transformer,是一个ViT。他首先会把图片按照从左到右、从上到下切成不同的小正方形,打成多个patch,每个patch的分辨率都是比如14x14。接下来每个patch会使用一个卷积层编码成为一个vector,然后多个patch vector拼在一起当成多个“token”的word embedding,加上position embedding后直接进入transformer encoder,输出会是每个patch一个hidden state。
这个encoder有两种训练方法:
- contrastive loss: 大名鼎鼎的CLIP。找到一大堆互联网上的挨着的(图片-文本)对作为正样本,然后随机其他的对作为负样本,然后用刚才的ViT作为image-encoder,用另一个比如T5之类的作为text encoder,拿到两个embedding,跑对比学习的loss:希望正样本-正样本之间的cosine相似度大于负样本-正样本之间的cosine相似度
- reconstructive loss:这个就是传说中的VAE。用ViT编码完了以后会把图片变成一个embedding,为了保证这个embedding尽量信息无损,会后面再接上一个image-decoder去预测原来的图片长什么样子。预测的越准loss就越小。为了防止模型去memorize每个image的样子,还会有个辅助KL loss去保证所有image的embedding在embedding空间的分布尽可能均匀
这两种方法有个特点:都是无监督的,只要有一大堆数据就能起效果。前者需要 (图片-文本) 对,但有个好处是数据可以自己合成,可以人工在text-caption上加上各种丰富准确的细节来提高训练的要求,进而增强模型。后者只需要一大堆图片,在一些dense的任务上表现更好

作者在这里做了消融实验,最左边那列AIM是reconstruction loss,CLIP是对比学习loss。architecture基本都是ViT,H的参数量比L大。image Res代表的是训练的时候的训练数据的图片分辨率都是多少。Data是指用什么数据做的训练。
明显可以发现:
- image res这个变量对最终的效果差距最大
- 在CLIP中加入合成数据(VeCap),会提升模型表现
- 两种loss基本都不咋影响效果,都差不多
作者最终选了CLIP + 高清encoder
Vision-Language Connector
这一部分就是输入image-encoder的output,转换到Word embedding空间,这里面有个至关重要的问题:一张图片应该转换到LLM里的多少个token?
- 显然token更多,保留的细节更多,模型的效果理应更好
- 然而,当token多的时候,尤其如果是多个图片(8个、16个),很多个token其实训不起来,资源消耗太恐怖了
作者在这里消融实验了一个image对应64、144 token两种情况,然后尝试了224、336分辨率的image-encoder,以及不同的pooling策略,大致有这么几种实现:
- Average Pooling: 由于Vit的token数大于目标token数量,就把相邻几个patch hidden-state取平均数,变成一个embedding,让数量变得一样了。再给每个token过一个MLP,作为LLM的一个token embedding
- Attention Pooling:作者觉得vit的输出可能和llm的word-embedding不在一个子空间,需要一个Attention层变换一下。于是就加一个额外的Attention层,初始化k个query向量,然后用key、value变换阵把ViT的输出对齐过去(Attention输出在sequence-length维度上和query的长度一致)。这样Attention的输出就是k个token embedding,然后k可以取64、144,就对齐过去了
- C-abstractor: 把输出用某种卷积层操作(ResNet)转换到word-embedding空间

作者对比了一圈发现:vision token和image resolution最重要,几种不同的pooling策略几乎没区别。即使在一个test set上好,在另一个上可能会更差
Pretrain-data

最后,作者探索了pretrain数据对于结果的影响。这里有个歧义:"pretrain"并不是真正的预训练。作者这里实际上会选取一个预训练好的LLM作为text-only decoder,然后选取一个在CLIP对比学习loss上预训练好的image-encoder。把他俩用一个新初始化的VL-connector拼在一起。把这个叫做"start training"。所以这里探讨的“pretrain data”单指VLM启动训练后的"pretrain"
VLM的pretrain-data基本分为三种:
- image-caption: 正常VLM的预训练数据,也就是刚才CLIP里的图片文本对。作者会输入图片,让模型预测caption
- interleaved image-text: 从互联网上爬下来的语料。这里面都是图文交错的数据,作者直接把文本提取出来,在正常图片的位置放上图片,让模型预测所有文本的next-token-prediction
- text-only:正常LLM预训练的数据,基本上是去掉图片后的互联网语料,以及github之类地方爬下来的各种代码,以及找到的一大堆各个学科的教材啥的
其中,image-caption数据分为正常版和合成版本。所谓合成数据,就是用GPT-4v或者其他什么开源模型(这里说的VeCap用的vicuna,是一个Llama在gpt-3.5的输出上做过SFT的版本),要求他给图片生成一些非常详细的caption,包括里面所有Object以及他们之间的位置空间语义承接关系之类的。
如果大家看过前几天写的DALL.E 3的笔记 dall.e 3阅读笔记,就知道正常的html里来的图片文本对的alt-text质量有多差,所以需要重新clean,去重写等等

作者在这一部分做了最多的实验,因为在LLM领域现在大家也普遍认为数据是影响结果最重要的因素,大致发现了如下结论:
- interleaved data is instrumental for few-shot and text- only performance, while captioning data lifts zero-shot performance。作者猜测是因为互联网交错数据天生具有一些in-context Learning的性质
- text-only data helps with few-shot and text-only performance
- Careful mixture of image and text data can yield op- timal multimodal performance and retain strong text performance.
- Synthetic data helps with few-shot learning.
最后,作者公布了花了很多钱试出来的配方: caption / interleaved / text-only = 5:5:1
MM1
pretrain
由上面的结论,作者把训练做了scaling,选择了如下方案:
- CLIP loss的ViT-H,378x378分辨率
- 144 token,c-abstractor模式的VL-connector
- 5:5:1的VLM pretrain-data
作者在 9M, 85M, 302M, 1.2B几个规模上做了超参数搜索,并认为学习率\(\eta\)应该和模型规模的对数成反比,由此预测了30B模型的最优Learning rate=2.2e-5。然后weight-decay \(\lambda\)是lr的1/10 \[ \eta = \exp(-0.4214\ln(N) - 0.5535)\\ \lambda = 0.1\eta \] 另一面,作者还尝试了MoE架构,用了Mixtral-8x7B那种经典的top2 router,在3B和7B LLM规模上做了实验。3B是每两层加一个64选2的FFN,7B是每四层有一个32选2的FFN。这些FFN都是从最开始的dense FFN初始化的,随着router的训练逐渐变得差异化了。为了稳定训练,作者还加了一些平衡routing的loss
这方面,似乎Mixtral 8x7B report说他们没加任何其他loss,也可以正常训练?不知道是不是VLM领域有新的bug

作者发现,这样训练出来的MM1系列模型,在所有规模上基本都是目前最好的VLM。然后MoE可以让Performance "even better"
SFT
目前的公认解决方案,都是在Pretrain完以后,把能找到的学术任务拿过来造一个大号的数据集,让模型做一下supervised finetuning,再找一大堆chat数据让模型学着遵循人类乱七八糟的指令(比如"只能回复emoji"),最后再在测试集上测试效果
类似的,作者的SFT数据构成三部分:
- 学术数据集转换来的数据
- GPT-4v生成的给予图片的qa chat数据
- text-only,训练正常LLM时使用的SFT数据
所有数据掺在一起,SFT阶段随机喂数据。他们尝试了更高级的策略,发现效果基本没提升,就用了这个最简单的招
high resolution
测试的时候,还有问题:1)测试数据很多有巨多图片输入,或者需要8-shot in-context样本,这就需要最少8个图片。2)很多图片清晰度巨高,比如3840x2160分辨率。
这方面,有一个解决方案:Sub-image decomposition, 比如对于1344×1344的图片,作者分成5张图丢给模型,每个都是672×672。第一张图是降采样的, 后面四张分别是左上角到右下角的局部
这里有个trick:这里的复杂度不是\(n^2\),而是\(n^4\)。一个大图片会变成\(n^2\)个token,后面LLM本身又以\(n^2\)的复杂度跑前向,所以这个算法把一个大图变成5个小图实际上是省的。

作者通过这个方法可以支持任意分辨率的图片,实际上最高到1792x1792还是会崩。然后作者对比了SFT阶段的效果,发现了几个核心:
- image 分辨率对效果至关重要,如果输入的分辨率本身不高,怎么训练效果都不行
- VLM的预训练对效果很重要。作者把预训练各个阶段的ckpt都拿过来做了一次SFT实验,发现VLM预训练越久,对应的SFT Performance也越好
另外,作者发现即使SFT数据全都是单张图片输入的,MM1还是具有多张图片输入时的in-context推理能力。并且,在Pretrain阶段探索到的insight,对于SFT阶段的Performance仍然成立。最后,作者在附录里展示了很多MM1的case,感觉这个模型的效果是真的很不错
要是开源就好了
我的思考
- 我印象中MM1是第一个正式描述自己的多张图片、图文交错情况下的in-context Learning能力的模型。我感觉这个能力对于多模态的Agent很重要,目前我看到的一堆multi-modal的ReAct算法,都是把history用文本的形式拼到prompt了……感觉不是真正的multi-modal agent
- 另外最近有一些别的模型,比如Fuyu是一个decoder-only架构,图片的patch embedding不用走vit,直接在一个大decoder里走一次。代价是要重新预训练,好处是跑的很快……不知道哪种才是最好的方案,我猜目前这些方案是因为大家可以直接拿一个llama过来当LLM,效果比较稳?
