0%

2025-04-07-insights

DeepResearcher: Scaling Deep Research via Reinforcement Learning in Real-world Environments

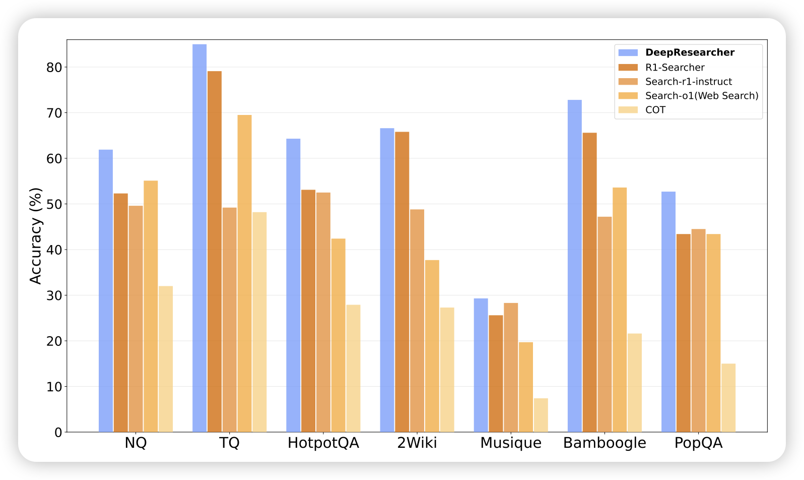
前有deeperesearch,今天又来了个deepresearcher。这篇工作了类似于前几天的searcher-r1,也是探索通过end2end-rl的方式学习使用搜索引擎。但是和之前的native agent实现不同,这篇工作外置了一个memory模块和html parser,让agent本身更专注在reasoning上。