MiniCPM: Unveiling the Potential of Small Language Models with Scalable Training Strategies
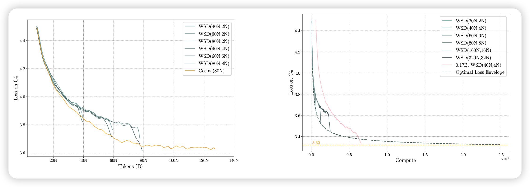
推荐组里的工作minicpm。作者在2B小模型上开展了一系列实验,用loss prediction技术找到了最好的训练方式。设计了一套新的学习率衰减方法,可以比之前的方法效果更好。
今年的NLP课就用的这个模型……

InternLM-XComposer2-4KHD: A Pioneering Large Vision-Language Model Handling Resolutions from 336 Pixels to 4K HD
4k的VLM,列文虎克都没他清楚。作者发现,把分辨率提上去,模型的能力大大增强,在benchmark上一度击败GPT-4v和Gemini
